
Adelaide Biomed Seminar Series
March 13, 2026

I would like to acknowledge that many of us are meeting today on Kaurna Country (Karrawirraparri: Redgum Forest River).
I acknowledge the deep feelings of attachment and relationship of the Kaurna people to their Place.
I also pay my respects to the cultural authority of Aboriginal and Torres Strait Islander peoples from other areas of Australia online today, and pay my respects to Elders past, present and emerging.



![]()

strandcheckR (Hien To)
sSNAPPY (Nora Liu) + tadar (Lachlan Baer)


Is large cohort transcriptomics just scRNA without the zero counts?





nextflow
fastp, RSeQC, samtools stats, all log files etcstrandcheckR (To and Pederson 2019) \(\rightarrow\) supplementary pipeline

/path/to/prophecy/PROP000000/ # PROPHECY ID
└── 1234567 # Aliquot ID
└── RNASEQ
├── bigwigs
│ └── E200099999 # Sequencing Run ID
│ └── 23-00000 # ULN
│ ├── GRCh38
│ └── PROPHECY
├── depletion
│ └── E200099999
│ └── 23-00000
│ ├── 1234567_1_hbrna.flagstat
│ └── 1234567_1_rrna.flagstat
├── fastp
│ └── E200099999
│ └── 23-00000
│ ├── 1234567_1_fastp.html
│ └── 1234567_1_fastp.json
├── fastq
│ └── E200099999
│ └── 23-00000
│ ├── 23-00000_1_S24_L01_R1_001.fastq.gz
│ ├── 23-00000_1_S24_L01_R1_001.md5
│ └── 23-00000_1_S24_L01_R2_001.fastq.gz
├── featureCounts
│ └── E200099999
│ └── 23-00000
│ ├── GRCh38
│ └── PROPHECY
├── rseqc
│ └── E200099999
│ └── 23-00000
│ ├── GRCh38
│ │ ├── inner_distance
│ │ │ ├── 1234567_1.inner_distance_freq.txt
│ │ │ ├── 1234567_1.inner_distance_mean.txt
│ │ │ └── 1234567_1.inner_distance.txt
│ │ ├── read_distribution
│ │ │ └── 1234567_1.read_distribution.tsv
│ │ └── tin
│ │ ├── 1234567_1.summary.txt
│ │ └── 1234567_1.tin.tsv
│ └── PROPHECY
├── salmon
│ └── E200099999
│ └── 23-00000
│ ├── GRCh38
│ │ └── 1234567_1
│ │ ├── aux_info
│ │ ├── cmd_info.json
│ │ ├── lib_format_counts.json
│ │ ├── libParams
│ │ ├── logs
│ │ └── quant.sf
│ └── PROPHECY
└── star
└── E200099999
└── 23-00000
├── GRCh38
│ ├── 1234567_1.cram
│ ├── 1234567_1.cram.crai
│ ├── 1234567_1.cram.md5
│ ├── 1234567_1.Log.final.out
│ ├── 1234567_1.SJ.out.tab
│ ├── 1234567_1.stats
│ └── 1234567_1_strandcheckr.tsv.gz
└── PROPHECY
STARconsensus
DUG team identified bug in STAR & made pull request| Plate | Pass | Caution | Fail | Incomplete | Total Yield (billions) | Mean Q30 |
|---|---|---|---|---|---|---|
| SAGCQA0503-2 | 40 | 47 | 9 | 0 | 6.26 | 94.8% |
| SAGCQA0503-3 | 92 | 4 | 0 | 0 | 6.36 | 95.2% |
| SAGCQA0503-4 | 70 | 15 | 11 | 0 | 6.14 | 94.4% |
| SAGCQA0503-5 | 68 | 18 | 10 | 0 | 6.24 | 94.2% |
| SAGCQA0503-6 | 62 | 28 | 6 | 0 | 6.31 | 94.7% |
| SAGCQA0503-7 | 77 | 11 | 8 | 0 | 5.94 | 94.2% |
| SAGCQA0503-8 | 85 | 6 | 5 | 0 | 5.51 | 92.4% |
| SAGCQA0503-9 | 92 | 1 | 3 | 0 | 5.81 | 93.1% |
| SAGCQA0503-10 | 68 | 22 | 6 | 0 | 5.69 | 93.3% |
| SAGCQA0503-11 | 88 | 7 | 0 | 1 | 4.89 | 91.4% |
| SAGCQA0503-12 | 49 | 36 | 11 | 0 | 5.83 | 93.9% |
| SAGCQA0503-13 | 90 | 3 | 3 | 0 | 5.21 | 92.8% |
| SAGCQA0503-14 | 38 | 52 | 6 | 0 | 6.31 | 94.7% |
| Total | 919 | 250 | 78 | 1 |
| Name | Source | Interpretation |
|---|---|---|
status |
Manual Inspection | Originally defined in order to identify libraries which might be candidates for resequencing |
rin |
SAGC | RNA Integrity Number with high values (> 7) indicating a higher quality sample |
conc |
SAGC | RNA Concentration in the original extractions |
depletion_conc |
SAGC | RNA Concentration used for the rRNA/hbRNA deletion step. Two values were used with the lower concentration being an attempt to reduce saturation of the depletion reagents |
rrna_rate |
BODL pipeline | Estimates the proportion of reads deriving from rRNA by aligning a subset of reads to an rRNA reference |
hbrna_rate |
BODL pipeline | Estimates the proportion of reads deriving from hbRNA by aligning a subset of reads to an rRNA reference |
duplication_rate |
fastp |
Taken directly from the fastp reports, given that UMIs were included in all libraries |
sequenced_fragments |
fastp |
The initial number of fragments contained in each pair of fastq files |
q30_rate |
fastp |
The proportion of bases acheiving a PHRED quality score > 30 when being sequenced |
gc_content |
fastp |
The average GC content of reads across the entire library |
gene_assigned_rate |
salmon |
num_frags_with_concordant_consistent_mappings / sequenced_fragments |
decoy_aligned_rate |
salmon |
num_decoy_fragments / sequenced_fragments |
median_insert_size |
samtools stats |
Calculated by only taking alignments which are concordantly paired |
sd_log10_insert_size |
samtools stats |
Calculated by only taking alignments which are concordantly paired, the transforming the insert size using log10 and finding the standard deviation |
median_tin |
nf-core |
The median TIN score across all measured trancripts |
prop_no_feature |
featureCounts |
The proportion of input reads which aligned where there was no annotated feature |
stranded_coverage |
strandcheckR |
The proportion of windows showing >90% of reads with a stranded bias, weighted by coverage |
prop_assigned |
featureCounts / salmon |
The proportion of sequenced fragments assigned to a gene/transcript |






hRUV (Kim et al. 2021), RUV (Risso et al. 2014), RUVIII-NB (Salim et al. 2022)CQN (Hansen, Irizarry, and Wu 2012)hRUV hard-wired to USyd metabolomics structure
RUVIII-NB also needed rewriting (github only)
PC4 captures age 🎉


Both improve further using glmTreat() at FC > 1.1

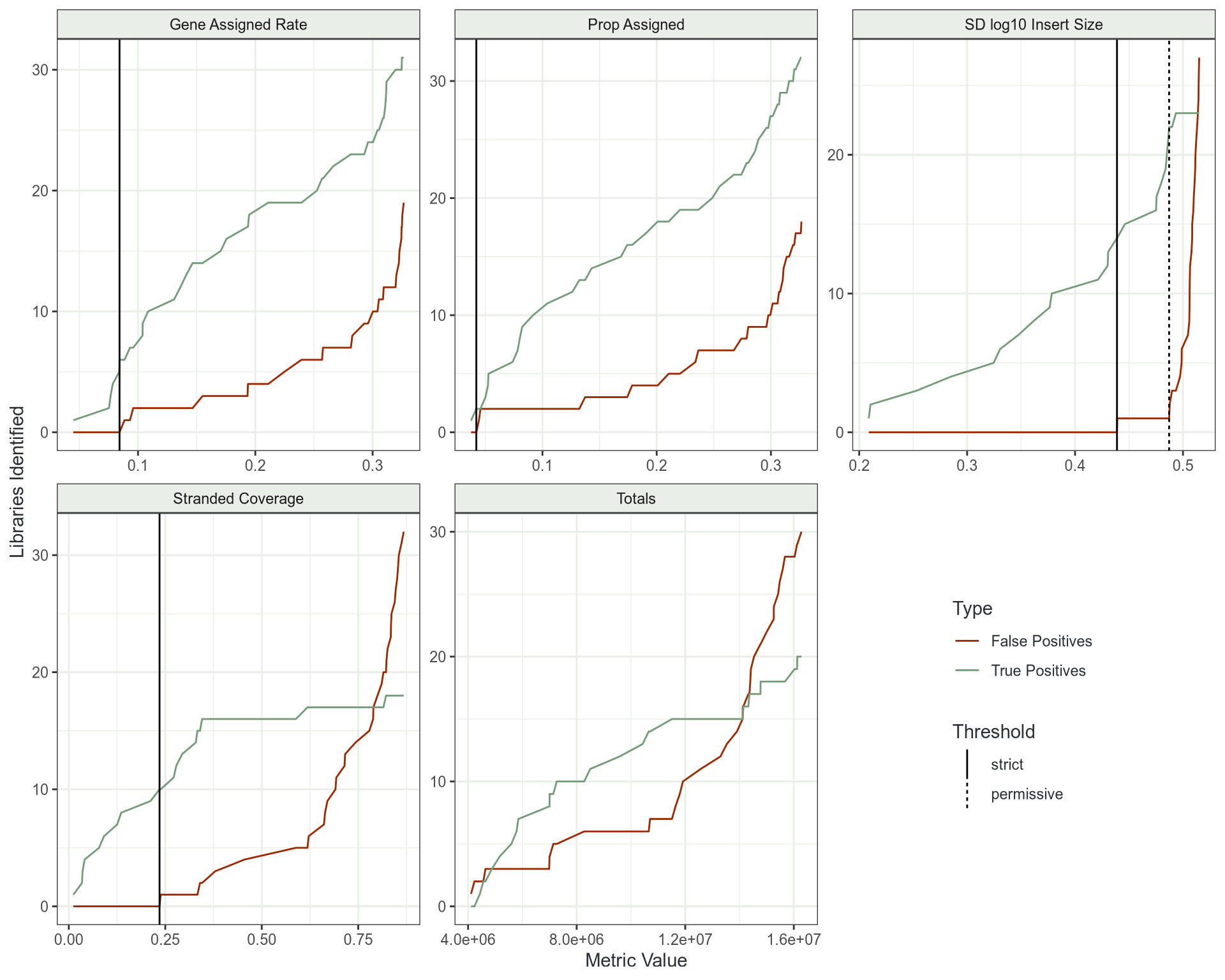
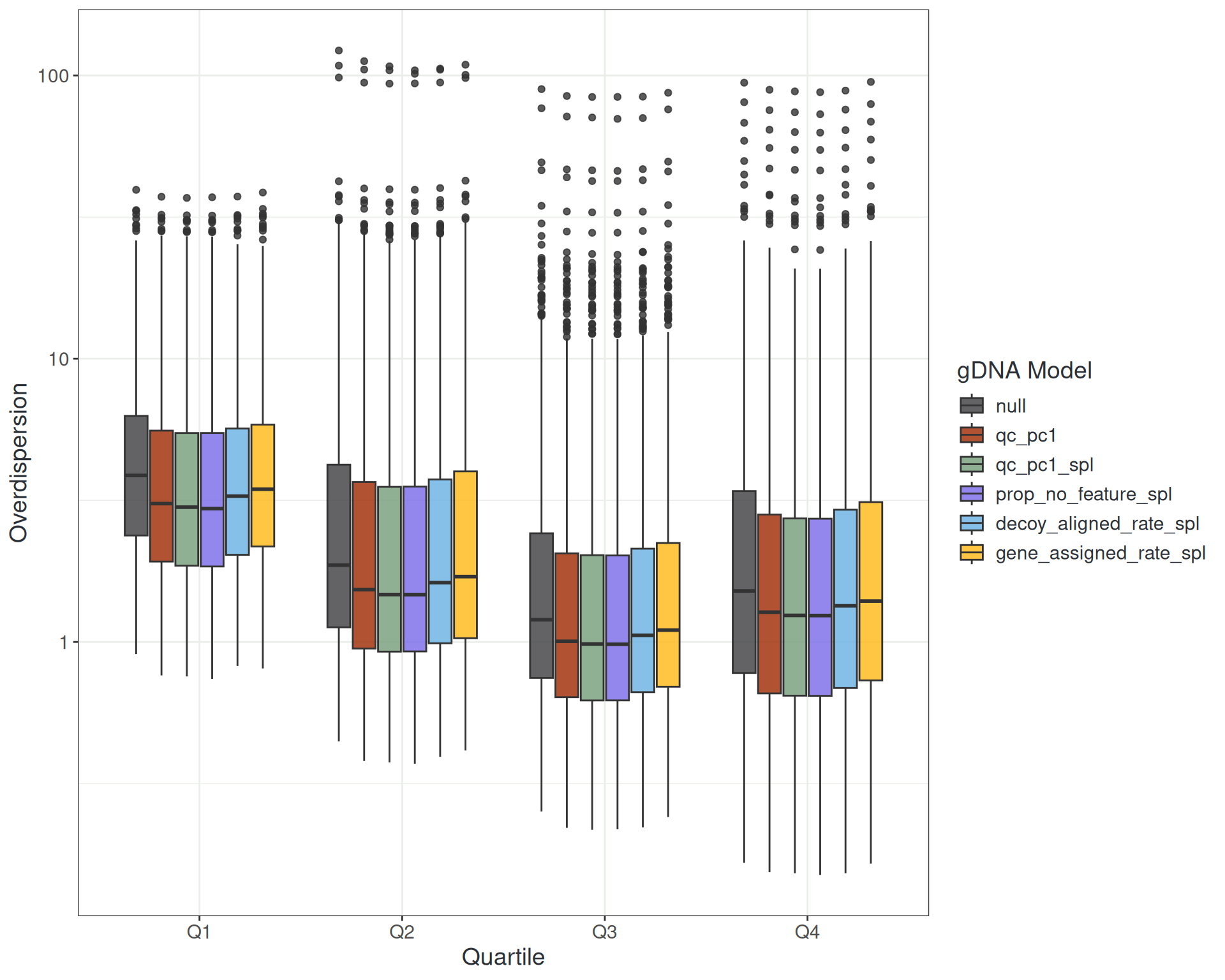
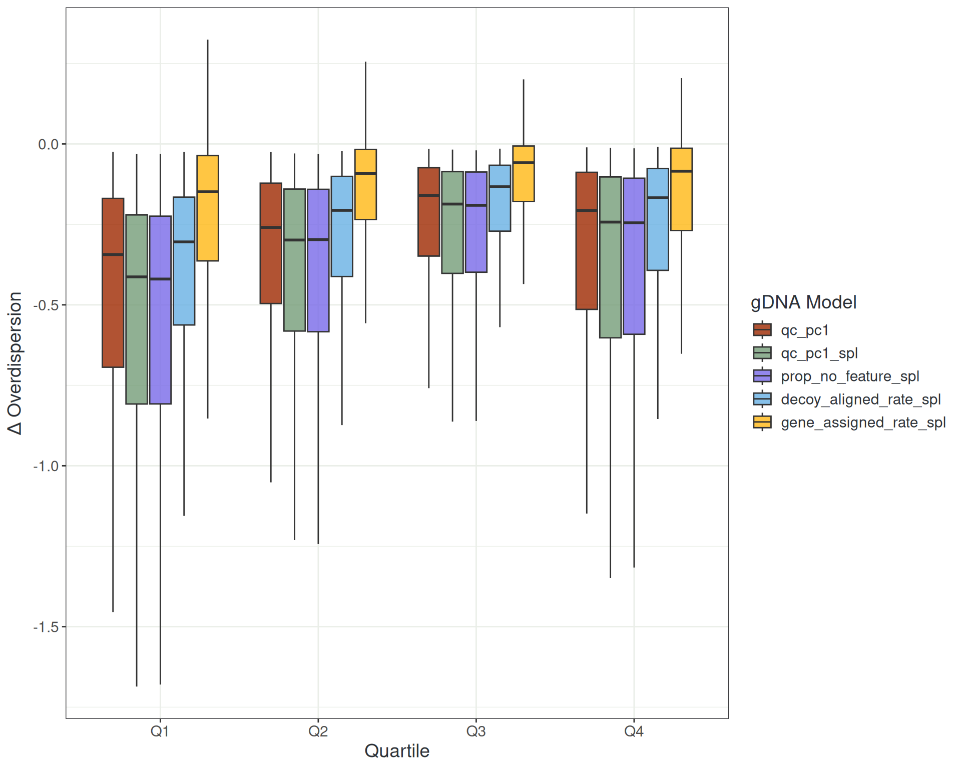
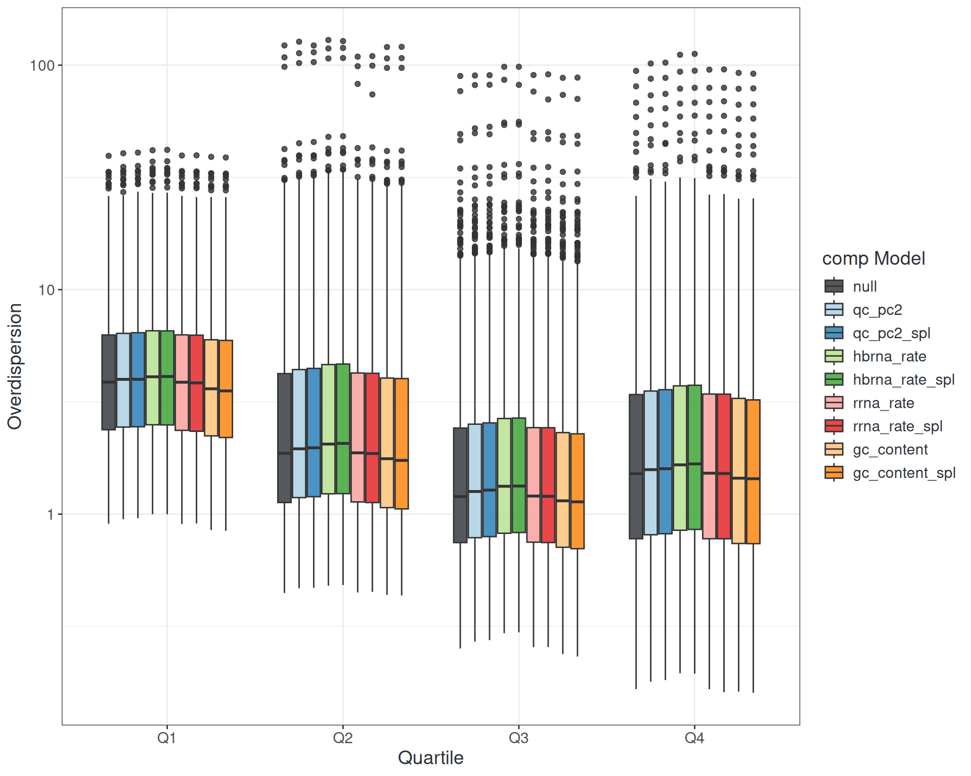
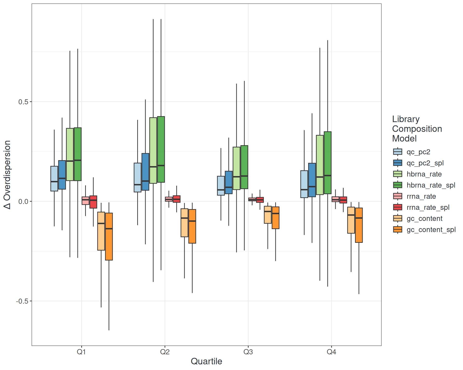
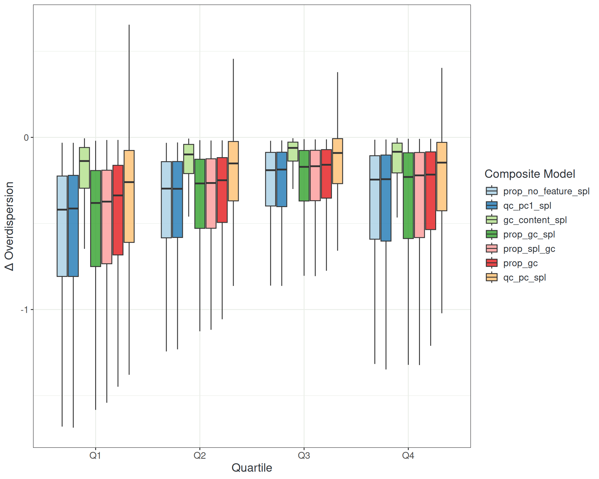
stranded_coverage, prop_no_feature, sd_log10_insert_size, decoy_aligned_rate, gene_assigned_ratehbrna_rate, rrna_rate, gc_content, duplication_rate




prop_no_feature as a natural spline
strandcheckR
nf-coreIs large cohort transcriptomics just scRNA without the zero counts?

The questions are completely different:
Black Ochre Data Labs
Alex Brown
Jimmy Breen
Alastair Ludington
Sam Buckberry
Liza Kretzschmar
Yassine Souilmi
Katharine Brown
Rose Senesi
Sam Godwin
Rebecca Simpson
Adam Heterick
Kaashifah Bruce
Bastien Llamas
Amanda Richards-Satour
Justine Clark
Holly Massacci
Sarah Munns
Alli Foster
Sehaj Dhariwal
SAGC
Sen Wang
Renee Smith
John Salamon
Paul Wang
Baker Heart & Diabetes Institute
Sam El Osta
Ishant Kurma
Moshe Olshansky
Scott Maxwell
SAHMRI / Wardliparingga
Natasha Howard
Victor Chang Cardiac Research Institute
Jason Kovacic
University of Sydney
Jean Yang
Centre For Population Genomics
Dan MacArthur
